日本大百科全書(ニッポニカ) 「渦度」の意味・わかりやすい解説
渦度
うずど
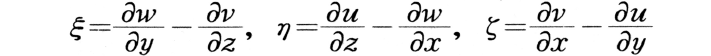
一般的には軸の周りの回転性循環をいう。ただし、軸の方向は任意である。数理的には、次の式で定義されるベクトルをいう。
q=∇×V=rotV=curlV
ただし、qは渦度ベクトル、Vは風ベクトルである。普通、渦度ベクトルの鉛直成分を単に渦度とよび、ζで表す。
空気粒子は、空気の流れ方によって平行移動、変形、発散および回転の運動学的性質を与えられる。また、これらの性質をもった空気粒子が集まると、それに対応した固有の流れ方が形成される。実際の空気の流れ方は、これらの基本的な流れ方が複合して形成される。空気の流れのようすは風の空間分布によって表されるが、風の場の運動学的解析は大気の物理的構造の診断と予想にとって重要である。
いま、水平面上の流れについて例をとると、流れに直角な右方向に風速が増している場では、そこを流れる空気粒子はその鉛直軸の周りに反時計方向に、一方、左方向に風速が増している場では、時計方向に回転する性質が与えられる。前者を正の渦度、後者を負の渦度という。気圧の谷、低気圧域、ジェット気流の軸の北側などでは正の渦度域となり、一方気圧の峰、高気圧域、ジェット気流の軸の南側などでは負の渦度域となっている。
風は地球に相対的な空気の運動であるから、風の場で定義される渦度を相対渦度とよぶことがある。地球は地軸の周りを1日に1回転しているので、地面自体もその地点の鉛直軸の周りの渦度をもつ。この地面のもつ渦度は次の式で表されるコリオリ・パラメーター(コリオリ因子)fに等しい。
f=2Ωsin
ただし、Ωは地軸の周りの地球の回転の角速度、
は緯度である。fと相対渦度ζとの和を絶対渦度とよぶ。
相対渦度は、地球に相対的な空気の流れ方(風の場)によって空気粒子に与えられる運動学的性質であり、緯度によって量的に変化する。同じ空気の流れ方でも相対渦度は高緯度で小さく、低緯度で大きくなる。これを緯度効果という。しかし、コリオリ因子は高緯度ほど大きく、絶対渦度(f+ζ)はちょうど一定に保たれるようにふるまうので、これを絶対渦度保存の法則という。絶対渦度を追跡すると空気の運動をより正しく解析することができる。
大気の流れは水平的であるが、鉛直成分(鉛直流)をもっている。その鉛直流の速さが水平方向に違うと水平軸の回りに回転の性質(水平渦度)が与えられる。この水平軸が鉛直流によって傾くと鉛直軸の回りに回転の性質が生じて相対渦度(鉛直渦度)に影響を与える。これを立ち上がり効果という。ところで、フィギュアスケーターがスピンをかけるときは両手を縮め(収束)、止まるときは両手を広げる(発散)ことからわかるように、相対渦度は収束の性質を与えられると増加し、発散の性質を与えられると減少する。このように、収束と発散は相対渦度に大きな影響を与えるので、これを発散効果という。また、傾圧大気ではソレノイドによる循環が相対渦度に影響を与えるので、これをソレノイド効果という。このように、空気粒子の相対渦度は緯度効果、発散効果、立ち上がり効果、ソレノイド効果によって変化する。この空気粒子の相対渦度の時間的変化を数学的に表現した式を渦度方程式といい、流体力学の運動方程式から導かれる。
これらの効果のなかで、立ち上がり効果と傾圧効果は比較的小さいので、影響の大きい緯度効果と発散効果のみを数理的に相対渦度に組み入れた物理量は保存性が強く、これを絶対渦位または単に渦位という。温位は乾燥大気の断熱変化に保存性が強いので、比較的水蒸気量の少ない5キロメートル以上の高層で等圧面天気図にかえて等温位面天気図上で渦位を追跡すると総観規模擾乱(じょうらん)を巡る空気の運動をより正確に解析することができる。
[股野宏志]
『ハンス・J・ラグト著、山口信行訳、大橋秀雄監訳『渦――自然の渦と工学における渦』(1988・朝倉書店)』▽『今井功著『流体力学』新装版(1993・岩波書店)』▽『神部勉編著『流体力学』(1995・裳華房)』▽『股野宏志著『天気予報のための大気の運動と力学』(1997・東京堂出版)』▽『小倉義光著『一般気象学』第2版(1999・東京大学出版会)』


